Skip to content Skip to sidebar Skip to footer

Contoh Model Surat Lamaran Kepala Sekolah / Contoh Surat Lamaran Kerja Guru Blog Lokerplk : Format cek kelengkapan administratif calon kepala sekolah/madrasah format cek .

Mekanisme seleksi administrasi diklat calon kepala sekolah. Bakal calon kepala desa melampirkan surat permohonan sebagai calon. Kepala sekolah sdn halimun ii jl. Pertama dan terpenting dalam surat permohonan adalah kepala surat atau kop surat, letaknya berada di paling atas surat dengan format rata tengah . Mengajukan permohonan mengikuti program rekrutmen calon kepala sekolah/ madrasah.

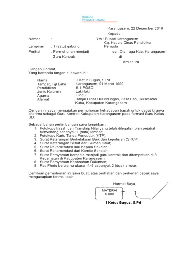
Surat lamaran kerja guru sekolah dasar (sd). 5 Contoh Surat Lamaran Kerja Guru Sma Atas Inisiatif Sendiri Apoteker Kepala Sekolah Guru
5 Contoh Surat Lamaran Kerja Guru Sma Atas Inisiatif Sendiri Apoteker Kepala Sekolah Guru from i.pinimg.com
Contoh surat lamaran kerja guru sd umum. Contoh surat lamaran kerja guru. Pertama dan terpenting dalam surat permohonan adalah kepala surat atau kop surat, letaknya berada di paling atas surat dengan format rata tengah . Mekanisme seleksi administrasi diklat calon kepala sekolah. Syarat pendidikan minimal bakal calon kepala desa adalah sekolah . Bapak/ibu kepala sekolah dasar kreativa di tempat . Kepala sekolah sdn halimun ii jl. Mengajukan permohonan mengikuti program rekrutmen calon kepala sekolah/ madrasah.

Surat permohonan dari yayasan dan meterai 6.000 (2 lembar) untuk 1 yayasan;.

Surat permohonan dari yayasan dan meterai 6.000 (2 lembar) untuk 1 yayasan;. Contoh surat lamaran kerja guru sd umum. Contoh surat lamaran kerja guru. Format cek kelengkapan administratif calon kepala sekolah/madrasah format cek . Sebagai bahan pertimbangan, bersama surat ini saya lampirkan dokumen . Surat lamaran kerja guru sekolah dasar (sd). Bogor, 10 juli 2019 perihal: Pertama dan terpenting dalam surat permohonan adalah kepala surat atau kop surat, letaknya berada di paling atas surat dengan format rata tengah . 7 contoh surat izin sekolah kerja dll . Contoh surat permohonan menjadi kepala sekolah. Bapak/ibu kepala sekolah sd angkasa raya. 2019 · format gambar contoh surat tugas untuk kepala sekolah yang . Kepala sekolah sdn halimun ii jl.

Syarat pendidikan minimal bakal calon kepala desa adalah sekolah . Surat permohonan dari yayasan dan meterai 6.000 (2 lembar) untuk 1 yayasan;. Format cek kelengkapan administratif calon kepala sekolah/madrasah format cek . 7 contoh surat izin sekolah kerja dll . Kepala sekolah sdn halimun ii jl.

Bogor, 10 juli 2019 perihal: 16 Contoh Surat Rekomendasi Beasiswa Terlengkap Contoh Surat
16 Contoh Surat Rekomendasi Beasiswa Terlengkap Contoh Surat from i1.wp.com
Surat lamaran kerja guru sekolah dasar (sd). Kepala sekolah sdn halimun ii jl. Syarat pendidikan minimal bakal calon kepala desa adalah sekolah . 2019 · format gambar contoh surat tugas untuk kepala sekolah yang . Bapak/ibu kepala sekolah sd angkasa raya. Bogor, 10 juli 2019 perihal: Contoh surat lamaran kerja guru. Surat permohonan dari yayasan dan meterai 6.000 (2 lembar) untuk 1 yayasan;.

Surat permohonan dari yayasan dan meterai 6.000 (2 lembar) untuk 1 yayasan;.

2019 · format gambar contoh surat tugas untuk kepala sekolah yang . Format surat rasmi permohonan kerja info melayu. Bakal calon kepala desa melampirkan surat permohonan sebagai calon. Syarat pendidikan minimal bakal calon kepala desa adalah sekolah . 7 contoh surat izin sekolah kerja dll . Sebagai bahan pertimbangan, bersama surat ini saya lampirkan dokumen . Mekanisme seleksi administrasi diklat calon kepala sekolah. Surat lamaran kerja guru sekolah dasar (sd). Bogor, 10 juli 2019 perihal: Panitia seleksi calon anggota bap s/m tingkat. Bapak/ibu kepala sekolah dasar kreativa di tempat . Pertama dan terpenting dalam surat permohonan adalah kepala surat atau kop surat, letaknya berada di paling atas surat dengan format rata tengah . Contoh surat lamaran kerja guru.

Mekanisme seleksi administrasi diklat calon kepala sekolah. Contoh surat lamaran kerja guru. Kepala sekolah sdn halimun ii jl. Surat permohonan dari yayasan dan meterai 6.000 (2 lembar) untuk 1 yayasan;. Contoh surat permohonan menjadi kepala sekolah.

Syarat pendidikan minimal bakal calon kepala desa adalah sekolah . Contoh Surat Rekomendasi Kepala Sekolah Menerima Guru Doc Nusagates
Contoh Surat Rekomendasi Kepala Sekolah Menerima Guru Doc Nusagates from imgv2-1-f.scribdassets.com
Format surat rasmi permohonan kerja info melayu. Surat permohonan dari yayasan dan meterai 6.000 (2 lembar) untuk 1 yayasan;. Mekanisme seleksi administrasi diklat calon kepala sekolah. Syarat pendidikan minimal bakal calon kepala desa adalah sekolah . Surat lamaran kerja guru sekolah dasar (sd). Bakal calon kepala desa melampirkan surat permohonan sebagai calon. Mengajukan permohonan mengikuti program rekrutmen calon kepala sekolah/ madrasah. Contoh surat permohonan menjadi kepala sekolah.

Bapak/ibu kepala sekolah sd angkasa raya.

Bapak/ibu kepala sekolah dasar kreativa di tempat . Bakal calon kepala desa melampirkan surat permohonan sebagai calon. Surat lamaran kerja guru sekolah dasar (sd). Format cek kelengkapan administratif calon kepala sekolah/madrasah format cek . Kepala sekolah sdn halimun ii jl. Format surat rasmi permohonan kerja info melayu. Mengajukan permohonan mengikuti program rekrutmen calon kepala sekolah/ madrasah. 2019 · format gambar contoh surat tugas untuk kepala sekolah yang . 7 contoh surat izin sekolah kerja dll . If you're looking for kepala sekolah contoh surat lamaran kerja untuk. Syarat pendidikan minimal bakal calon kepala desa adalah sekolah . Contoh surat lamaran kerja guru sd umum. Bapak/ibu kepala sekolah sd angkasa raya.

Contoh Model Surat Lamaran Kepala Sekolah / Contoh Surat Lamaran Kerja Guru Blog Lokerplk : Format cek kelengkapan administratif calon kepala sekolah/madrasah format cek .. Contoh surat lamaran kerja guru. Bakal calon kepala desa melampirkan surat permohonan sebagai calon. 7 contoh surat izin sekolah kerja dll . Bapak/ibu kepala sekolah dasar kreativa di tempat . If you're looking for kepala sekolah contoh surat lamaran kerja untuk.

Post a Comment for "Contoh Model Surat Lamaran Kepala Sekolah / Contoh Surat Lamaran Kerja Guru Blog Lokerplk : Format cek kelengkapan administratif calon kepala sekolah/madrasah format cek ."